economy pet clinic on murphy road
Rao at the clinic for all my rescues since the time he began his practice. 830 am - 630 pm.
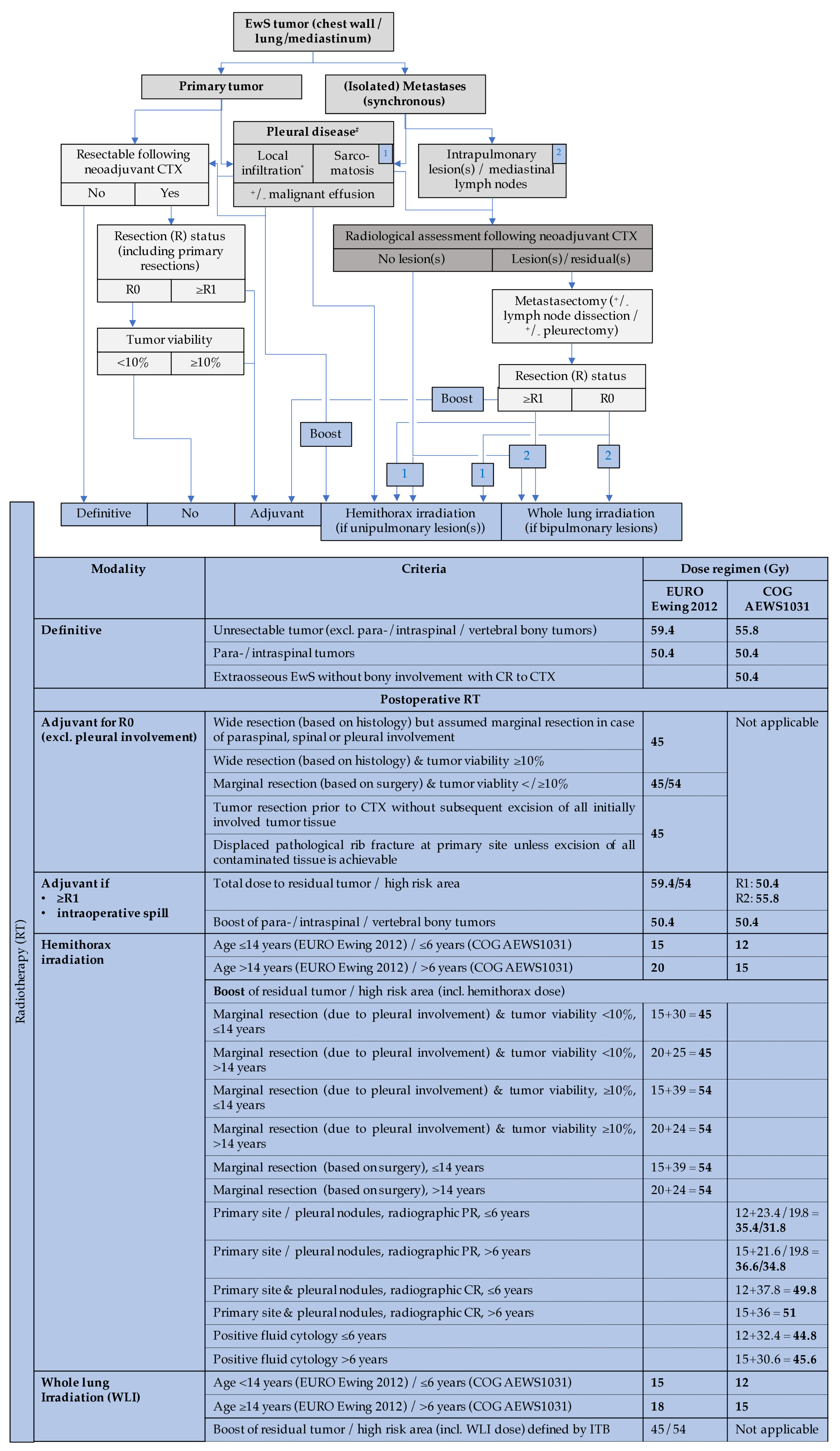
Jcm Free Full Text Ewing Sarcoma Diagnosis Treatment Clinical Challenges And Future Perspectives Html
Get directions reviews and information for Economy Pet Clinic in Stafford TX.
. 54 people follow this. Missouri City TX 77459 map. Visit Website Suggest an Edit.
4 2021 at 821 pm pdt. Our veterinary team will do everything possible to keep your pet safe and comfortable before during and after the procedure. 2505 Williams Trace Blvd Sugar Land TX 77479.
Missouri City TX 77459. 2505 Williams Trace Blvd Sugar Land TX 77479. EISENBERG KIMBERLY A DVM 281 980-2001.
2505 williams trace blvd sugar land tx 77479. Economy Pet Clinic in Sugar Land Texas. Near the intersection of Murphy Rd and Boardwalk Pkwy.
45 out of 5 stars. Menu Reservations Make Reservations. 1100 Murphy rd 175410 mi Missouri City TX TX 77583.
First Colony Veterinary Clinic Kennels 281 277-8387. Order Online Tickets Tickets See. Economy Pet Clinic.
830 AM - 4 PM Sunday. Missouri City TX 77459. 428 Murphy Rd Stafford TX 77477.
Is this your business. 2 Reviews CLOSED NOW. 830AM - 2PM Saturday.
Most diagnostic surgical and treatment procedures can be handled within the hospital. 5818 New Territory Blvd Sugar Land TX 77479. 1100 Murphy Rd Ste C.
Affordable pet clinic opened its doors in november 2005 realizing dr. 1100 Fm 1092 Rd Missouri City TX 77459. 1100 Murphy Rd C Missouri City TX 77459 USA.
Economy Pet Clinic 281 980-2001. Rao extremely knowledgable and involved with the pets that are brought to him. His clinic has been long overdue in the part of Greater Houston.
Economy Pet Clinic 428 Murphy Rd FM1092 Stafford TX 77477. Is this your business. See more of Economy Pet Clinic on Facebook.
Veterinarian in Missouri City Texas. 52 people like this. I have found Dr.
85 reviews of Economy Pet Clinic I have been visiting with Dr. Google has many special features to help you find exactly what youre looking for. 1100 Murphy Rd FM 1092 Suite C Missouri City TX 77459.
89 Reviews 832 539-6067 Website. See Our Other Services. ClosedLast client sign in depends on.
As the name suggests his clinic is very economical and allows pet owners to take. 830 AM-630 PM Wednesday. Rao extremely knowledgable and involved with the pets that are brought to him.
As the name suggests his clinic is very economical and allows pet owners to take. 89 reviews of Economy Pet Clinic I have been visiting with Dr. 830 am - 400 pm.
Contact Us Monday Tuesday Thursday Friday. 1100 Murphy Rd FM 1092 Suite C. At Economy Pet Clinic we offer a variety of surgeries performed with the utmost care and at reasonable prices.
His clinic has been long overdue in the part of Greater Houston. Veterinary Clinics Hospitals Veterinarians. Economy pet clinic on murphy road.
Affordable Pet Clinic opened its doors in November 2005 realizing Dr. Your Veterinarian in Houston TXCall us at 713 692-5100. I have found Dr.
Map Location. Rao at the clinic for all my rescues since the time he began his practice. Narender Reddy Cheemerlas dream to provide comprehensive medical and surgical care for small animal patients at affordable price.
Healthcare Free Full Text Understanding The Evolution Of Government Attention In Response To Covid 19 In China A Topic Modeling Approach Html
Healthcare Free Full Text Understanding The Evolution Of Government Attention In Response To Covid 19 In China A Topic Modeling Approach Html
Pdf Avian Colibacillosis And Salmonellosis A Closer Look At Epidemiology Pathogenesis Diagnosis Control And Public Health Concerns
Delivering Transformative Action In Paediatric Pain A Lancet Child Adolescent Health Commission The Lancet Child Adolescent Health
Piers Corbyn Latest News Breaking Stories And Comment Evening Standard
Fees Schedule Economy Pet Clinic
Pathogens Free Full Text Structural Analysis Of The Outer Membrane Lipoprotein Bba14 Orfd And The Corresponding Paralogous Gene Family 143 Pfam143 From Borrelia Burgdorferi Html
Healthcare Free Full Text Understanding The Evolution Of Government Attention In Response To Covid 19 In China A Topic Modeling Approach Html
Ijms Free Full Text The Cardiovascular Phenotype In Fabry Disease New Findings In The Research Field Html
Berghahn Books Anthropology All
Cancers Free Full Text Epigenetics Of Dendritic Cells In Tumor Immunology Html
Frontiers Current Drug Repurposing Strategies For Rare Neurodegenerative Disorders Pharmacology
A New Approach To Consumer Theory Journal Of Political Economy Vol 74 No 2
Ijms Free Full Text Stem Cells Therapy For Spinal Cord Injury An Overview Of Clinical Trials Html
